• Предмет: Математика
  • Автор: tmarieva
  • Вопрос задан 8 лет назад

Помогите решить, пожалуйста.

Приложения:

Ответы

Ответ дал: nick3399
0

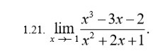
lim_{x to -1} frac{x^3-3x-2} {x^2+2x+1} =lim_{x to -1} frac{(x+1)^2(x-2)} {(x+1)^2}= lim_{x to -1} (x-2)=-3

Вас заинтересует