• Предмет: Математика
  • Автор: semkate
  • Вопрос задан 8 лет назад

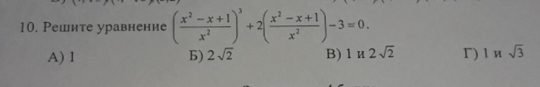
Помогите с номером, пожалуйста. Можно только ответ.

Приложения:

Ответы

Ответ дал: miron2077
0

!!!!!!!!!!!!!!!!!!!!!!!!!!!!!!!!!!

Приложения:
Вас заинтересует