• Предмет: Математика
  • Автор: samvelchikblock
  • Вопрос задан 8 лет назад

помогите плэээээээззз

Приложения:

Ответы

Ответ дал: hshxjizjdidjdnixn
0
1) Равно просто одна целая
Ответ дал: parus77
0
где решение?
Ответ дал: hshxjizjdidjdnixn
0
Я на листочке делала
Ответ дал: parus77
0
надо было сфоткать листочек и поместить сюда.
Ответ дал: hshxjizjdidjdnixn
0
я тут новенькая только вчера зарегистрировалась и не знаю как
Ответ дал: parus77
0

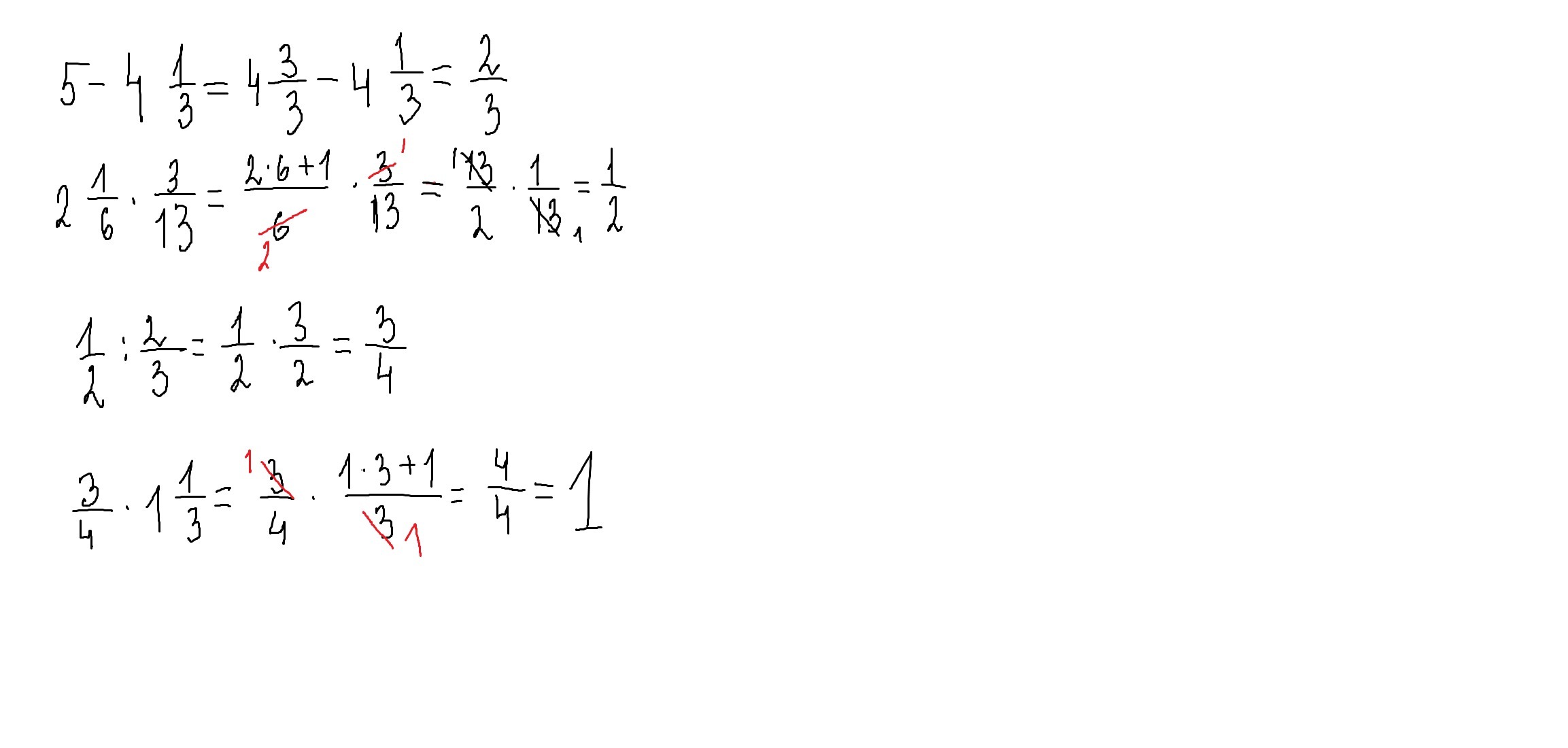
решение по действиям смотри внизу

Приложения:
Ответ дал: samvelchikblock
0
спасибо большое ты лучший !!
Ответ дал: parus77
0
пожалуйста
Вас заинтересует