• Предмет: Алгебра
  • Автор: alinahusnutdinova908
  • Вопрос задан 8 лет назад

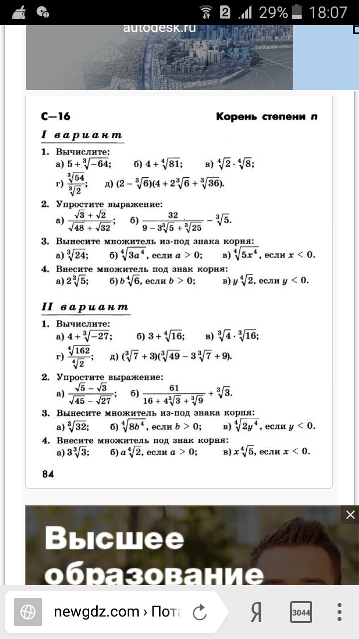
Помогите 4 задание 1 вариант

Приложения:

Ответы

Ответ дал: Senpoliya
0

2sqrt[3]{5} =sqrt[3]{2^3*5}= sqrt[3]{40} \ \ bsqrt[4]{6} =sqrt[4]{6b^4} \ \ ysqrt[4]{2} =-sqrt[4]{2y^4}

------------------------------------------------

Вас заинтересует