• Предмет: Алгебра
  • Автор: Jerry2435
  • Вопрос задан 8 лет назад

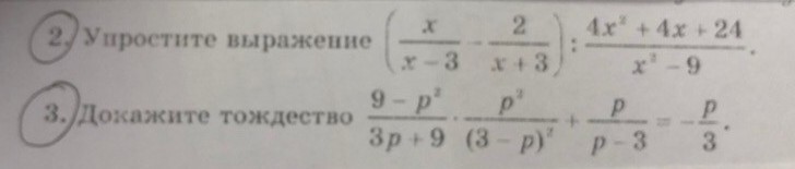
Срочно помогите пожалуйста!!!!

Приложения:

Ответы

Ответ дал: fginaruv
0

Надеюсь все понятно

Приложения:
Ответ дал: Jerry2435
0
Спасибо огромное!!!
Ответ дал: Jerry2435
0
слушай а решение вообще не отображается
Вас заинтересует