• Предмет: Математика
  • Автор: matrmat
  • Вопрос задан 8 лет назад

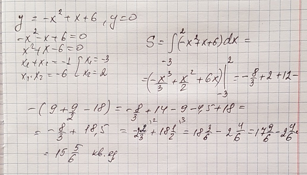
Найдите площадь фигуры ограниченную линиями
y=-x^2+x+6, y=0

Ответы

Ответ дал: 1233090
0
решение задания смотри на фотографии
Приложения:
Вас заинтересует