• Предмет: Математика
  • Автор: Sasha9494
  • Вопрос задан 8 лет назад

Решите примеры пожалуйста Тема Умножение одночленов

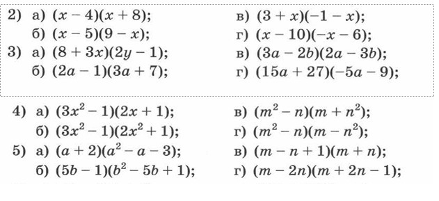
Приложения:

Ответы

Ответ дал: Нола
0

2) a) =x^2+8x-4x-32=x^2+4x-32

   b) =9x-x^2-45+5x=14x-x^2-45

   в) = -3-3x-x-x^2=-3-4x-x^2=-x^2-4x-3

   г) = -x^2-6x+10x+60= -x^2+4x+60

Ответ дал: Sasha9494
0
А можете полностью решить?
Ответ дал: Нола
0
с дискриминантом?
Ответ дал: Sasha9494
0
Обычно.
Вас заинтересует