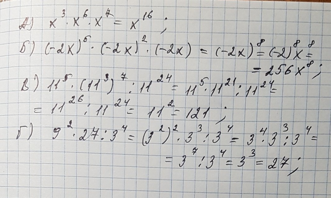
Представьте произведение в виде степени и вычислите его значение.
А) х^3*х^6*х^7
Б) (-2х)^5*(-2х)^2*(-2х)
В) 11^5*(11^3)^7:11^24
Г)9^2*27:3^4
Ответы
Ответ дал:
0
решение задания смотри на фотографии
Приложения:

Вас заинтересует
2 года назад
3 года назад
3 года назад
9 лет назад
9 лет назад
9 лет назад