• Предмет: Алгебра
  • Автор: Layneks
  • Вопрос задан 8 лет назад

Помогите СРОЧНО
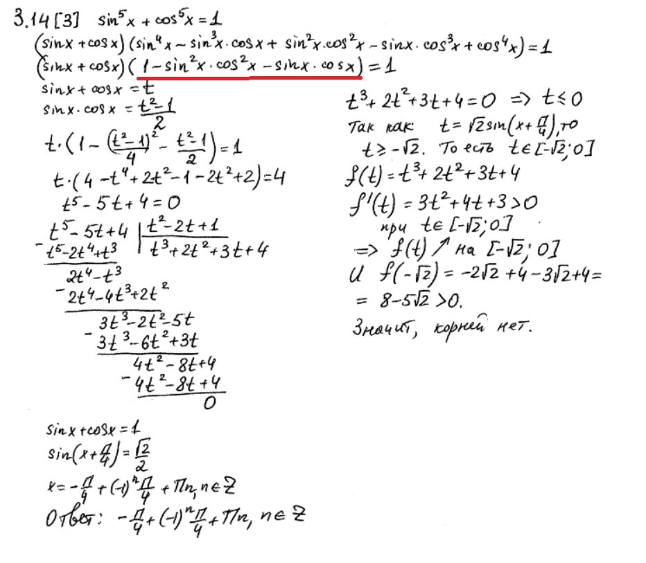
Объясните, как получилось то, что выделено красным
Спасибо

Приложения:

Ответы

Ответ дал: Kuкush
0

20 символов для решения:

sin^4x-sin^3x*cosx+sin^2x*cos^2x-sinx*cos^3x+cos^4x=(sin^4x+sin^2x*cos^2x+cos^4x)-(sin^3x*cosx+sinx*cos^3x)=(sin^4x+2*sin^2x*cos^2x+cos^4x)-sin^2x*cos^2x-sinx*cosx(sin^2x+cos^2x)=(sin^2x+cos^2x)^2-sin^2x*cos^2x-sinx*cosx*1=1-sin^2x*cos^2x-sinx*cosx

Вас заинтересует