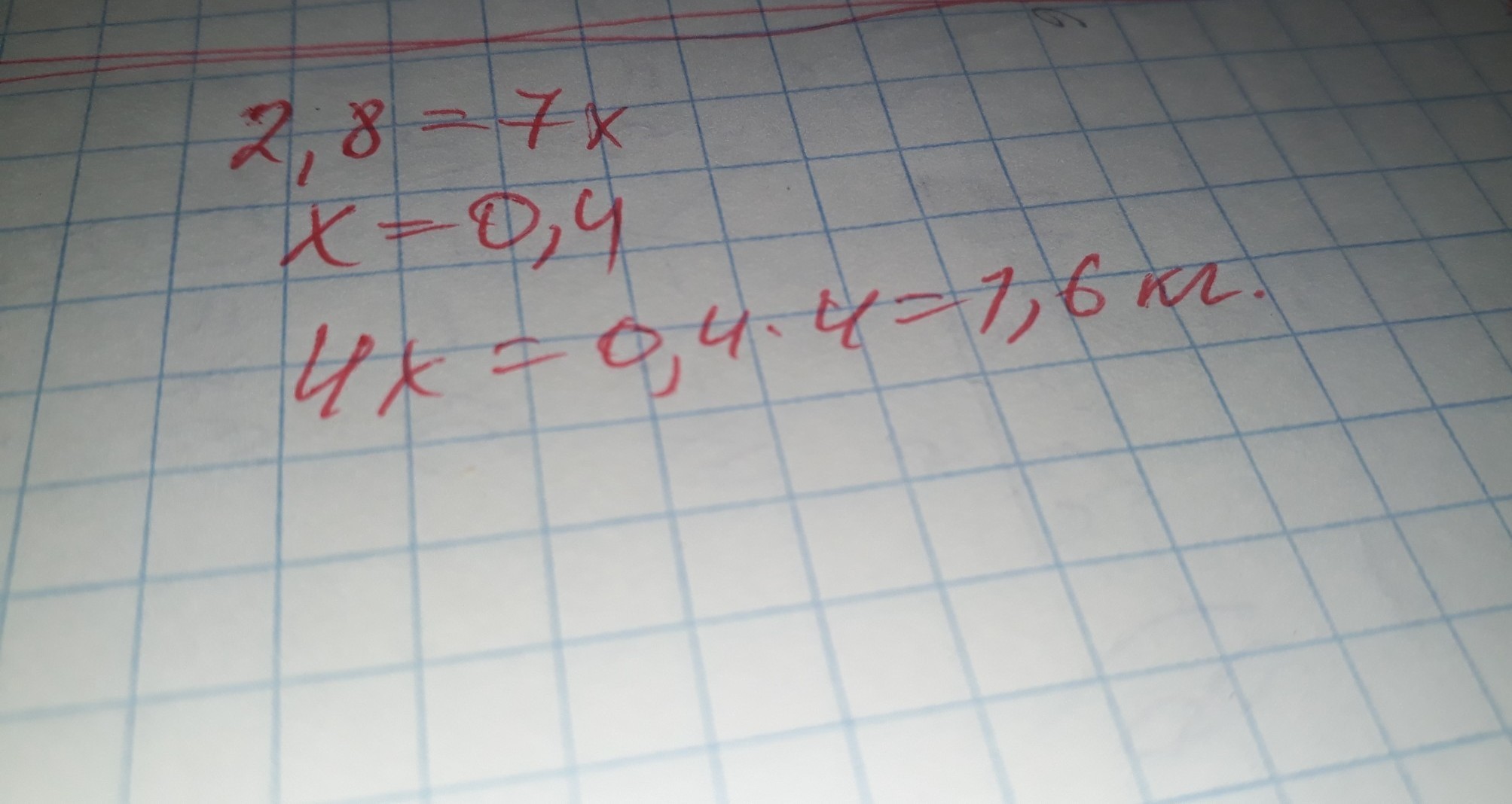
железо и сера реагируют в массовых соотношениях 7:4 вычислите массу серы,которая реагирует с 2,8кг железа.
Ответы
Ответ дал:
0
..,.,.,..,.,.,.,.,.,.
Приложения:

Ответ дал:
0
Спасибо
Ответ дал:
0
спасибо
Вас заинтересует
2 года назад
2 года назад
3 года назад
3 года назад
9 лет назад
9 лет назад