• Предмет: Математика
  • Автор: ohxlxhlhxyox
  • Вопрос задан 8 лет назад

помогите прошу......

Приложения:

Ответы

Ответ дал: alekssedova2016
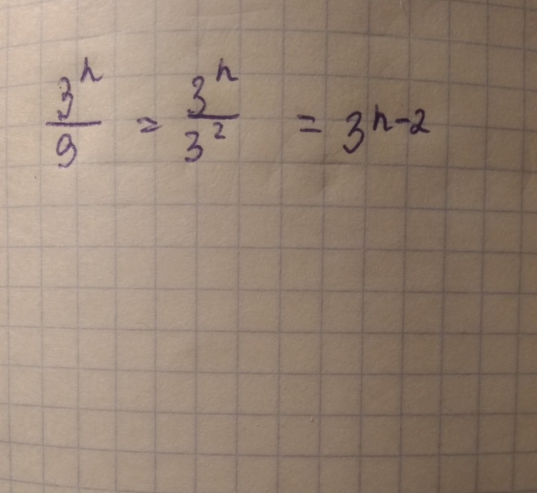
0

такой ответ,так как при делении степени вычитаются

Приложения:
Вас заинтересует