• Предмет: Алгебра
  • Автор: Sasha1357901158563
  • Вопрос задан 8 лет назад

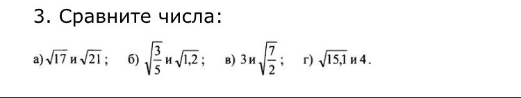
Сравните числа
Алгебра 8 класс

Приложения:

Ответы

Ответ дал: miko200
0

√17<√21

√3/5<√1.2

3>√3.5

√15.1<4

это так просто

Вас заинтересует