• Предмет: Геометрия
  • Автор: shluchegd
  • Вопрос задан 8 лет назад

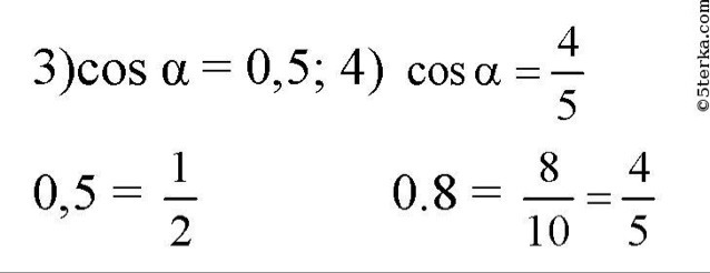
СРОЧНО!! Постройте угол, косинус которого равен:
а)0,2
б)0,8

Ответы

Ответ дал: forever21nov
0
Б ответ Надеюсь правильно
Приложения:
Вас заинтересует