Ответы
Ответ дал:
0
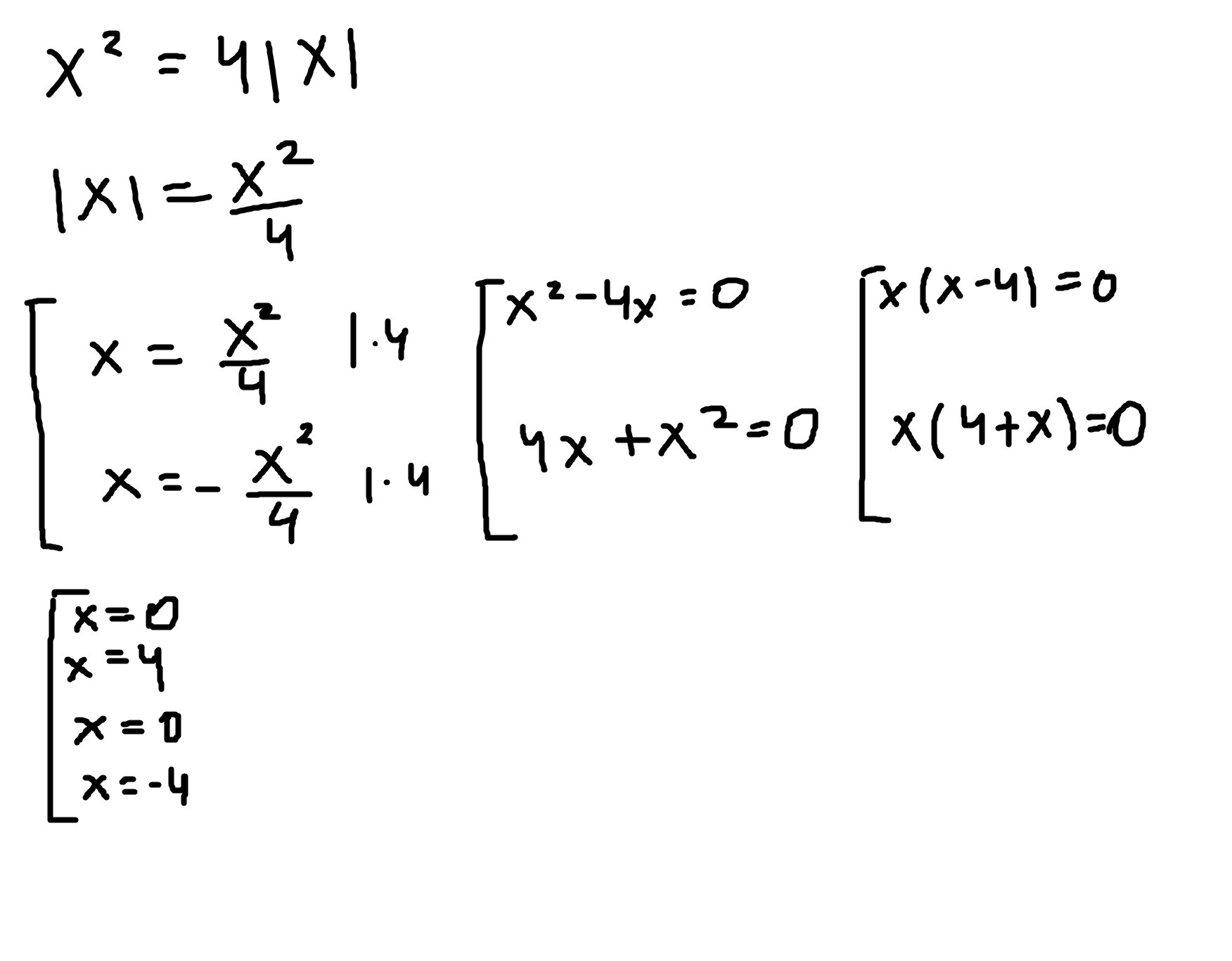
x² - 4x = 0
выносим x за скобки
x(x - 4) = 0
отсюда следует, что значение будет верным если x = 0 или x - 4 = 0.
Теперь рассматриваем x - 4 = 0, переносим -4 вправо и меняем знак на противоположный x = 4.
Получаем ответ x = 0 или x = 4. Но также решением может быть и отрицательное число, так как x с модулем x= -4
Ответ дал:
0
вместо X может быть как положительное,так и отрицательное число или же вовсе 0(например |x|=4 вместо x можно подставить 4 или -4 и равенство при этом сохранится в обоих случаях), поэтому |x| не= x
Ответ дал:
0
Оooooтвет: -4 ; 0 ; 4
Приложения:

Вас заинтересует
2 года назад
2 года назад
3 года назад
3 года назад
9 лет назад
9 лет назад
9 лет назад