• Предмет: Алгебра
  • Автор: maryanakashhenko
  • Вопрос задан 8 лет назад

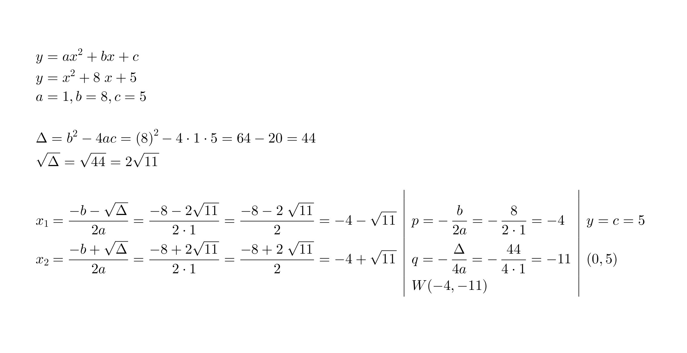
Постройте график функции у= х^2 + 8х + 5

Ответы

Ответ дал: Аноним
0

Постройте график функции у= х^2 + 8х + 5

Приложения:
Вас заинтересует