решите пожалуйста уравнение (x^10)^2×(x^3)÷x^4=0,64 там ещё снизу я просто написать не могу
Приложения:

Ответы
Ответ дал:
0
х^(10^2+3*3)/[х^(4+5*4+3)]= х^(29-27)=0.64, х²=0.64, х=±0.8
Ответ дал:
0
Ещё один корень есть
Ответ дал:
0
Спасибо, конечно упустил
Ответ дал:
0
Ок
Ответ дал:
0
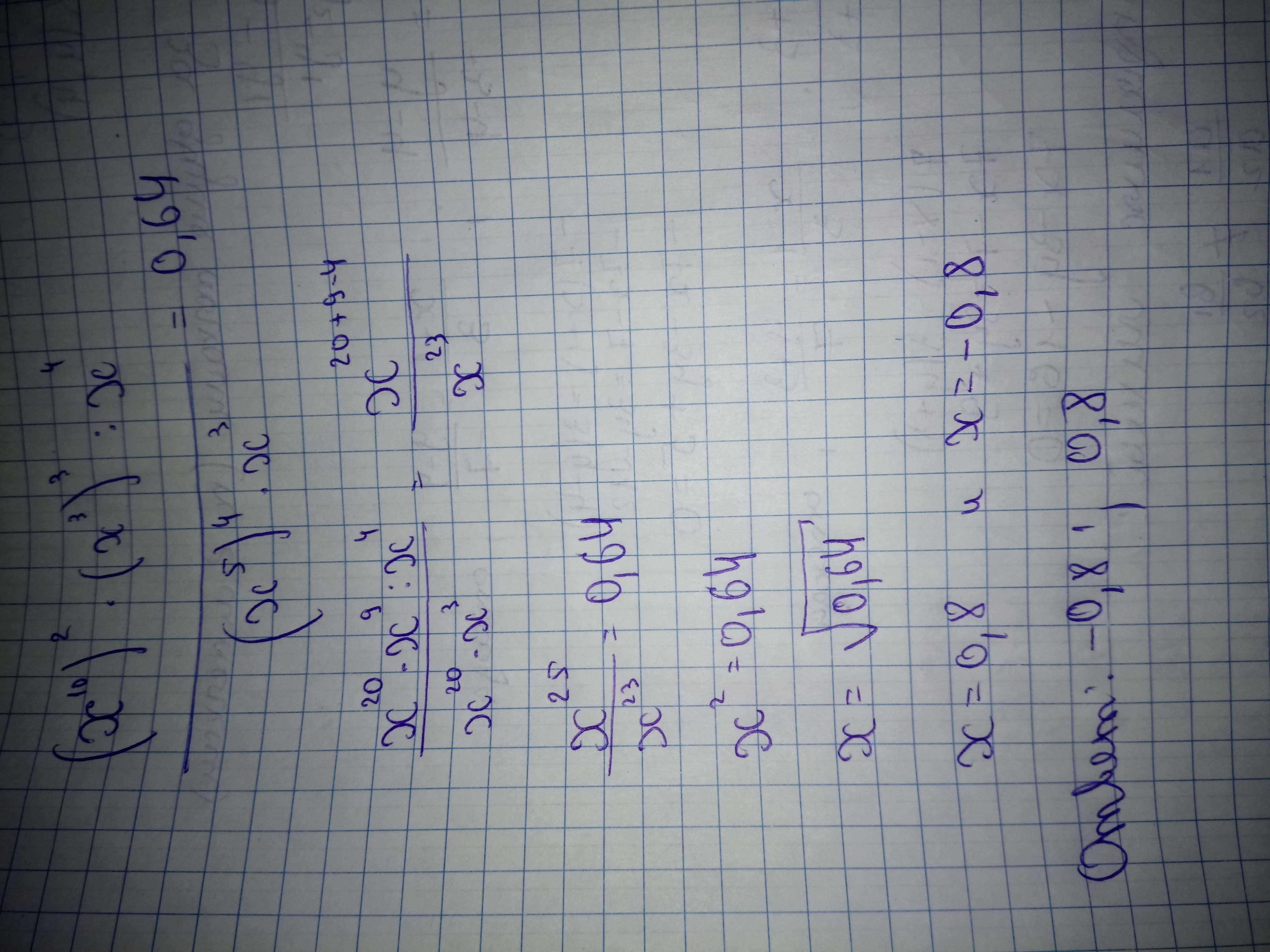
Решение задания приложено
Приложения:

Вас заинтересует
2 года назад
2 года назад
3 года назад
3 года назад
9 лет назад
9 лет назад
9 лет назад