• Предмет: Алгебра
  • Автор: МаргаритаSV
  • Вопрос задан 8 лет назад

СРОЧНО! !!!!
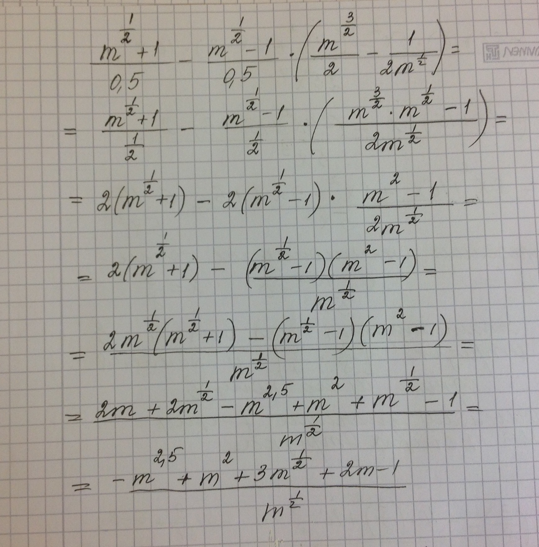
Упростите выражение

Приложения:

Ответы

Ответ дал: maksimcat
0

Ответ на фото////////////

Приложения:
Вас заинтересует