• Предмет: Алгебра
  • Автор: Kruak
  • Вопрос задан 8 лет назад

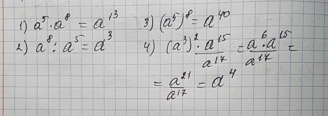
Представьте виде степени выражения: 1) a^5*a^8; 2)a^8:a^5 3)(a^5)^8; 4) (a^3)^2*a^15/a^17

Ответы

Ответ дал: 1233090
0
решение задания смотри на фотографии
Приложения:
Вас заинтересует