Ответы
Ответ дал:
0
Сначала нужно подставить А и умножить скобку на - (который стоит перед скобкой)
Приложения:

Ответ дал:
0
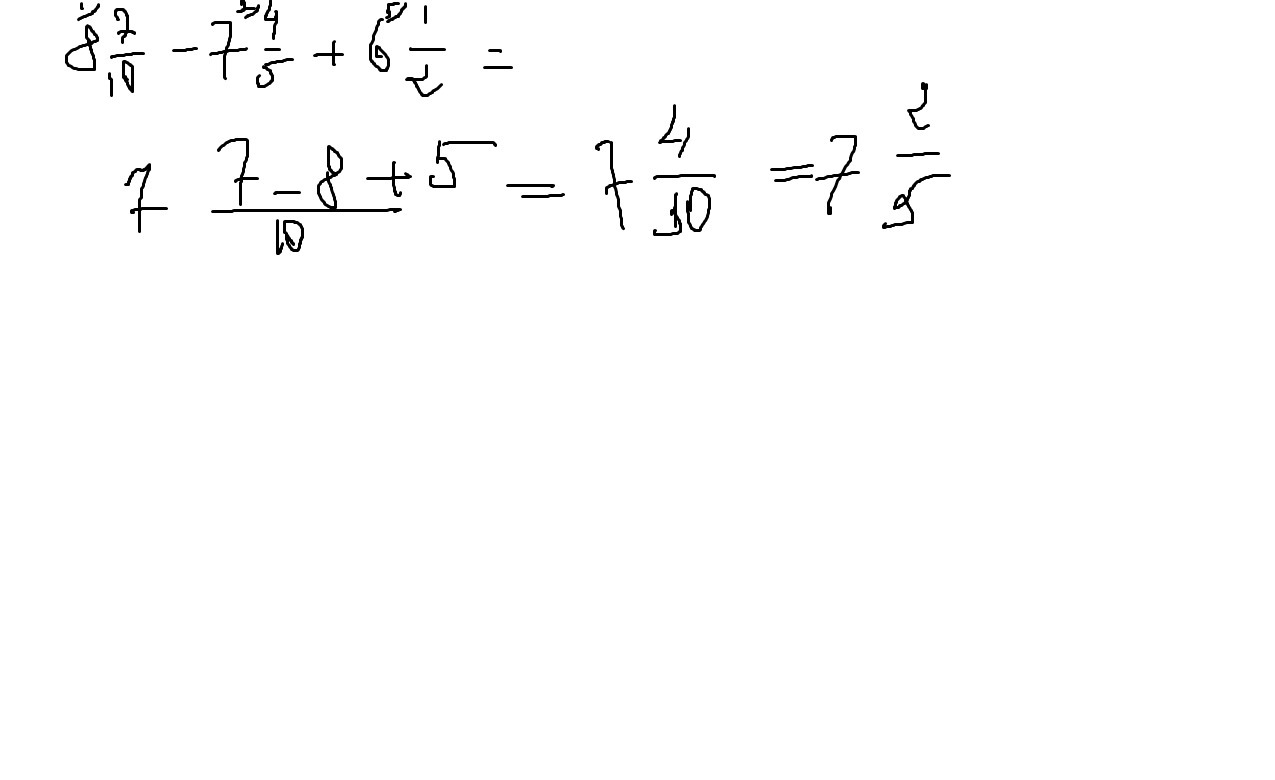
вроде правильно
Вас заинтересует
2 года назад
2 года назад
3 года назад
3 года назад
9 лет назад
9 лет назад