Ответы
Ответ дал:
0
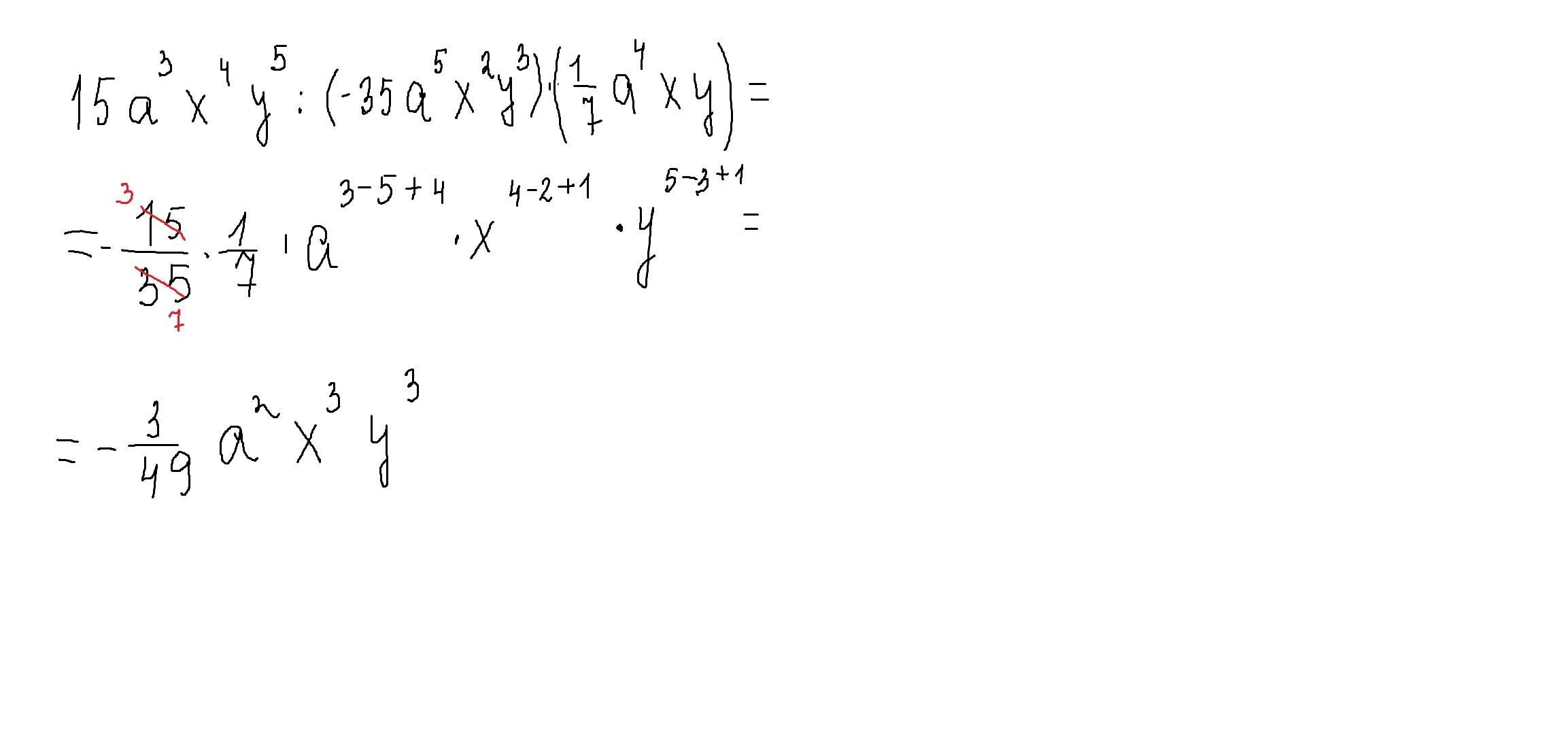
если я правильно поняла условие,то решение внизу.если не правильно-напиши-исправлю.
Приложения:

Вас заинтересует
2 года назад
2 года назад
3 года назад
3 года назад
9 лет назад