• Предмет: Математика
  • Автор: Samuytupoy
  • Вопрос задан 8 лет назад

помогите плз номер 663

Приложения:

Ответы

Ответ дал: Zвёздочка
0
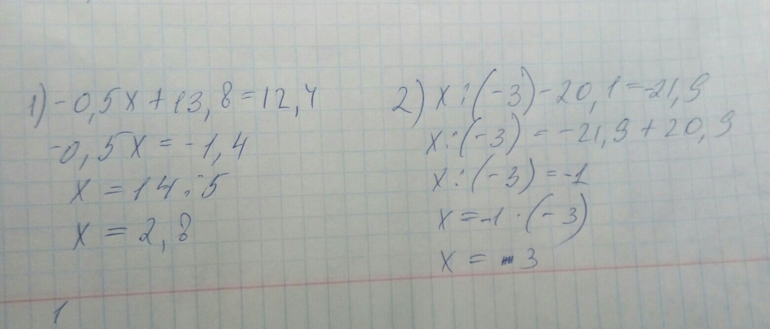
надеюсь, все правильно. а еще надеюсь, что ты разберешь мой почерк. извини за качество картинки
Приложения:
Ответ дал: parus77
0
удалять не надо,надо решить заново и изменить ответ(пока есть время)а то потом эта функция-изменить,исчезает.
Ответ дал: Samuytupoy
0
спасибо огромное тебе звездочка я сам отличник но просто не понел эту тему и все поехоло чуть ударником не стал и ток вчера двойку постовили чтобы сегодня тоже я не хочу спасибо огромное пока
Ответ дал: Zвёздочка
0
я на листке его записала, пожалуйся, пожалуйста, чтоб не испортила человеку оценку
Ответ дал: Zвёздочка
0
чувак
Ответ дал: Zвёздочка
0
я неверно решила
Вас заинтересует