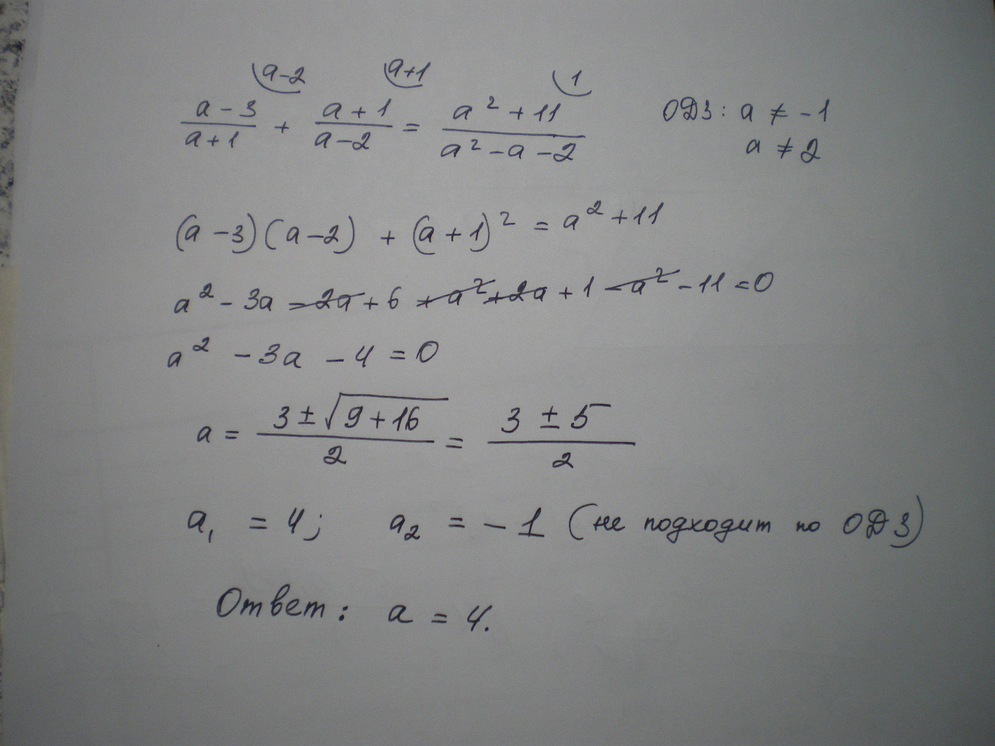
При каких значениях а сумма дробей (1 РИС), и (2 РИС) равна дроби (3 РИС)
ПОЖАЛУЙСТА МНЕ НА ЗАВТРА
ПОЗАРЕС НУЖНО
ПРОШУ ПОМАГИТЕ
СПАСИТЕ
Приложения:



Ответы
Ответ дал:
0
::::::::::::::::::решение:::::::::::::::::::
Приложения:

Ответ дал:
0
огромное спосибо
Ответ дал:
0
вопрос
Ответ дал:
0
а куда пропали а+1 а-2 а^2-а-2
Ответ дал:
0
понял
Ответ дал:
0
ещё раз спосибо
Вас заинтересует
2 года назад
2 года назад
3 года назад
9 лет назад
9 лет назад
9 лет назад