• Предмет: Алгебра
  • Автор: 150821
  • Вопрос задан 8 лет назад

умоляю ,срочно...пожалуйста!!!!!

Приложения:

Ответы

Ответ дал: romanmuts2493
0

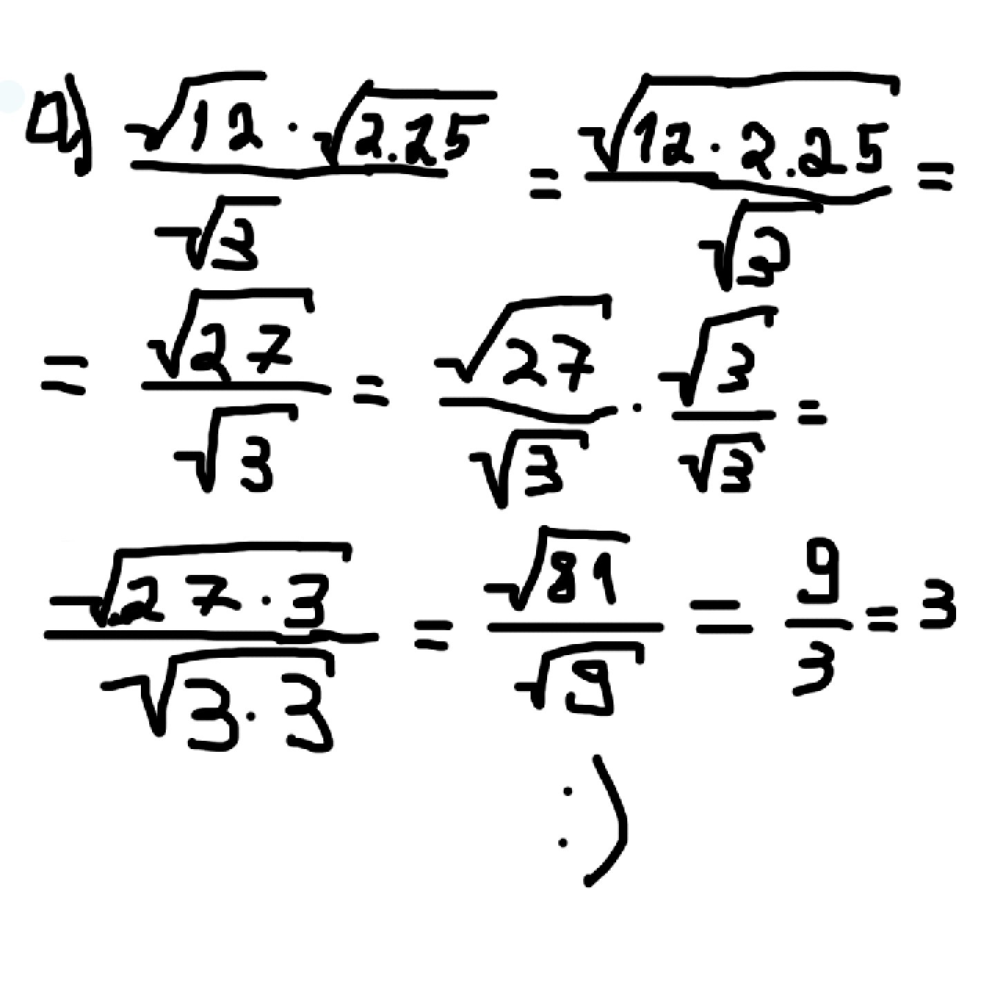
Приклад а) і б)

Формули вивчай. Там все просто

Приложения:
Вас заинтересует