Ответы
Ответ дал:
0
надеюсь всп понятно
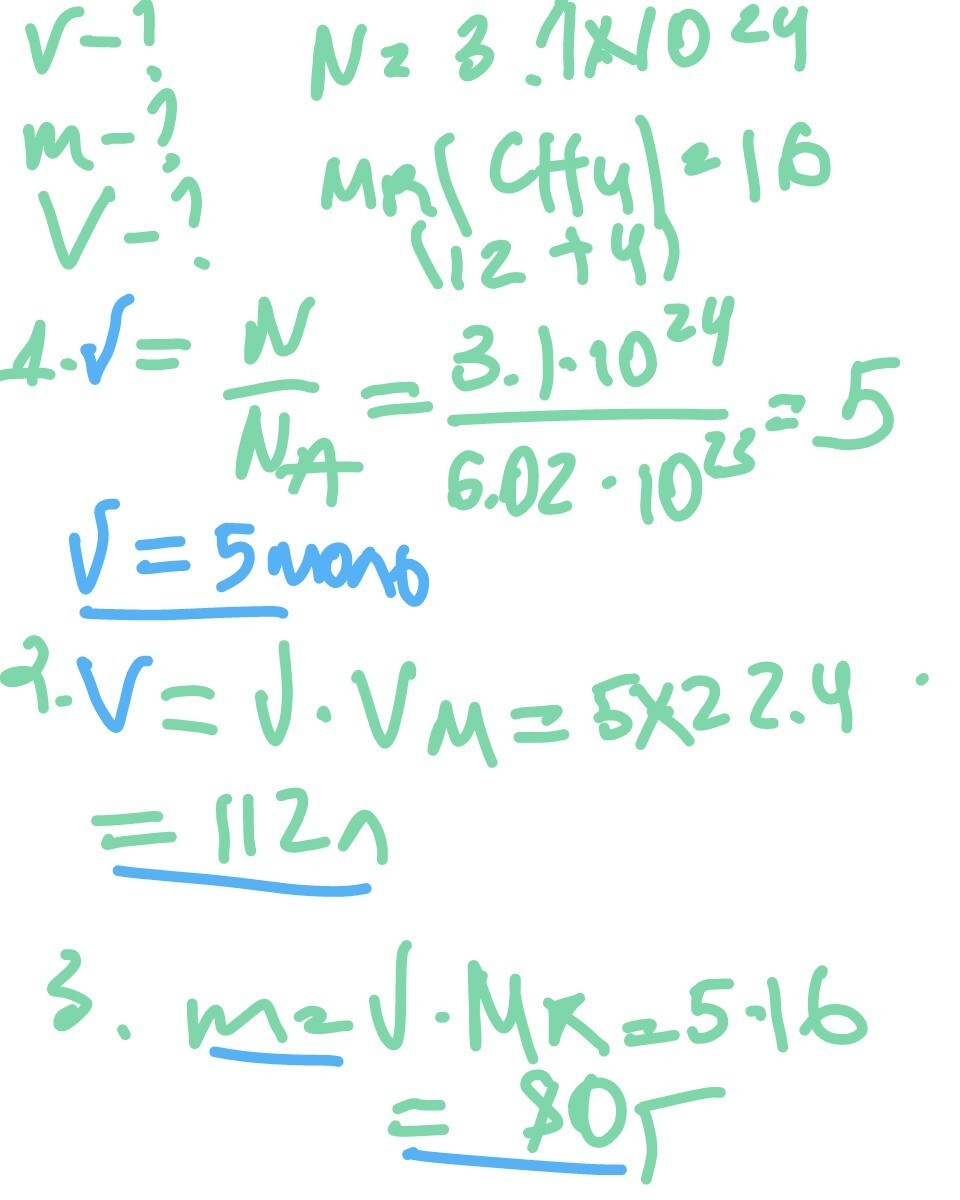
здесь нужно знать только формулы
здесь нужно знать только формулы
Приложения:

Вас заинтересует
2 года назад
3 года назад
3 года назад
9 лет назад
9 лет назад