Ответы
Ответ дал:
0
используем геометрический смысл производной:
k=f'(x0)=6x0+4=6*(-2)+4=-12+4=-8
k=f'(x0)=6x0+4=6*(-2)+4=-12+4=-8
Ответ дал:
0
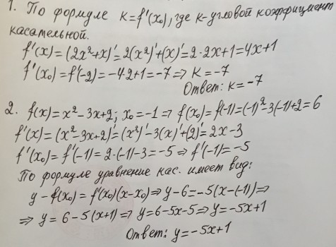
тут не сильно сложно вот тебе решения
Приложения:

Вас заинтересует
2 года назад
3 года назад
3 года назад
9 лет назад
9 лет назад
9 лет назад