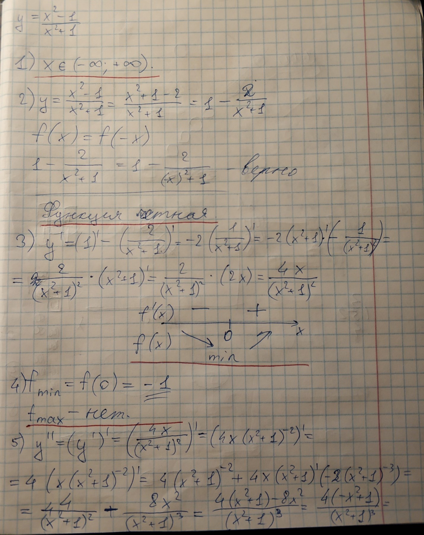
Исследовать функцию 
1) Найти область определения
2)Определить четность/нечетность
3)Найти интервалы возрастания и убывания
4)Вычислить max и min функции
5)Найти интервалы выпуклости и вогнутости, найти точку перегиба
6)Найти ассимптоты
7)Построить график
Ответы
Ответ дал:
0
(см. приложение) вот всё решение
Приложения:
Ответ дал:
0
Не совсем понятен пятый пункт. Вторая производная же (-12x^2+4)/(x^2+1)^3. Даже в photomath так
Ответ дал:
0
Ну конечно может быть я ошибся, но нафиг я вам нужен если у вас есть photomath?)))
Ответ дал:
0
Но да - где-то накосячил с двойной производной
Ответ дал:
0
photomath photomath'ом, но знающий человек лучше всяких калькуляторов)
Вас заинтересует
2 года назад
2 года назад
3 года назад
3 года назад
9 лет назад
9 лет назад
10 лет назад
10 лет назад