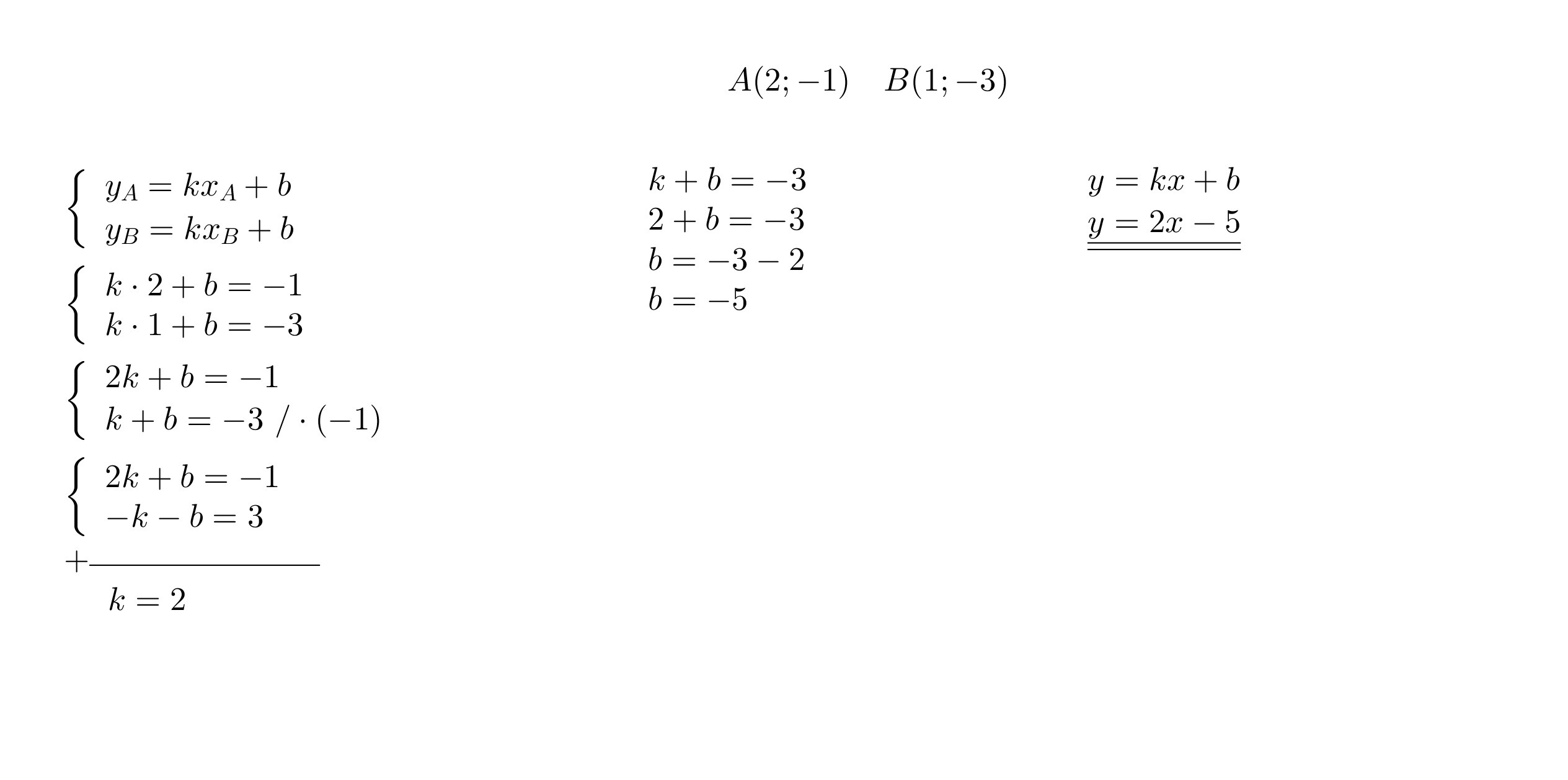
Известно, что график функции у=kx+b проходит через точку А(2;-1) и точку В(1;-3). Запишите формулу, задающую эту функцию
Ответы
Ответ дал:
0
Запишите формулу, задающую эту функцию
Приложения:

Вас заинтересует
2 года назад
2 года назад
3 года назад
3 года назад
9 лет назад
9 лет назад
9 лет назад