*Вычислите 7 2/3 (7 целых две третих) - 4
7 2/3-4
НАПИШИТЕ ТАК ЧТОБЫ БЫЛО ПОНЯТНО!
ЗАРАНЕЕ СПАСИБО❤
Ответы
Ответ дал:
0
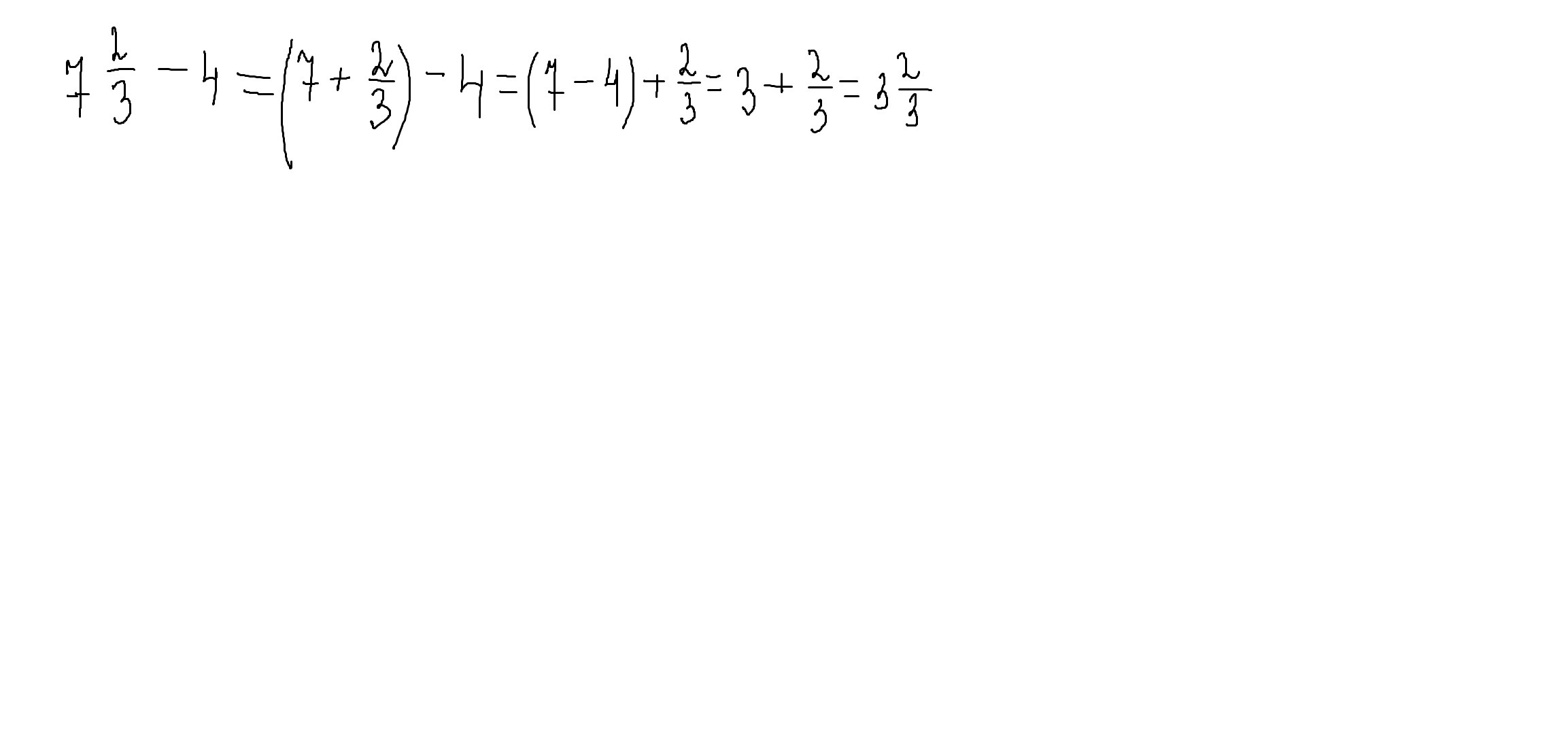
7 2/3-4=3 2/3
........................
Ответ дал:
0
как еще понятнее-я не знаю.
Приложения:

Ответ дал:
0
Спааасибо
Вас заинтересует
2 года назад
2 года назад
3 года назад
3 года назад
9 лет назад
9 лет назад