Ответы
Ответ дал:
0
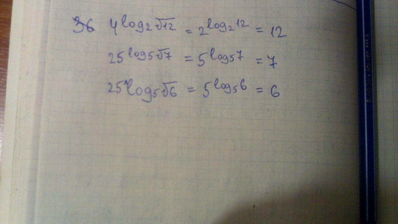
Раскладываем 4 на 2 во второй степени, и заносим двойку в логарифм по основным правилам. Тоже самое с другими примерами.
Приложения:

Вас заинтересует
2 года назад
3 года назад
3 года назад
9 лет назад
9 лет назад
9 лет назад