Ответы
Ответ дал:
0
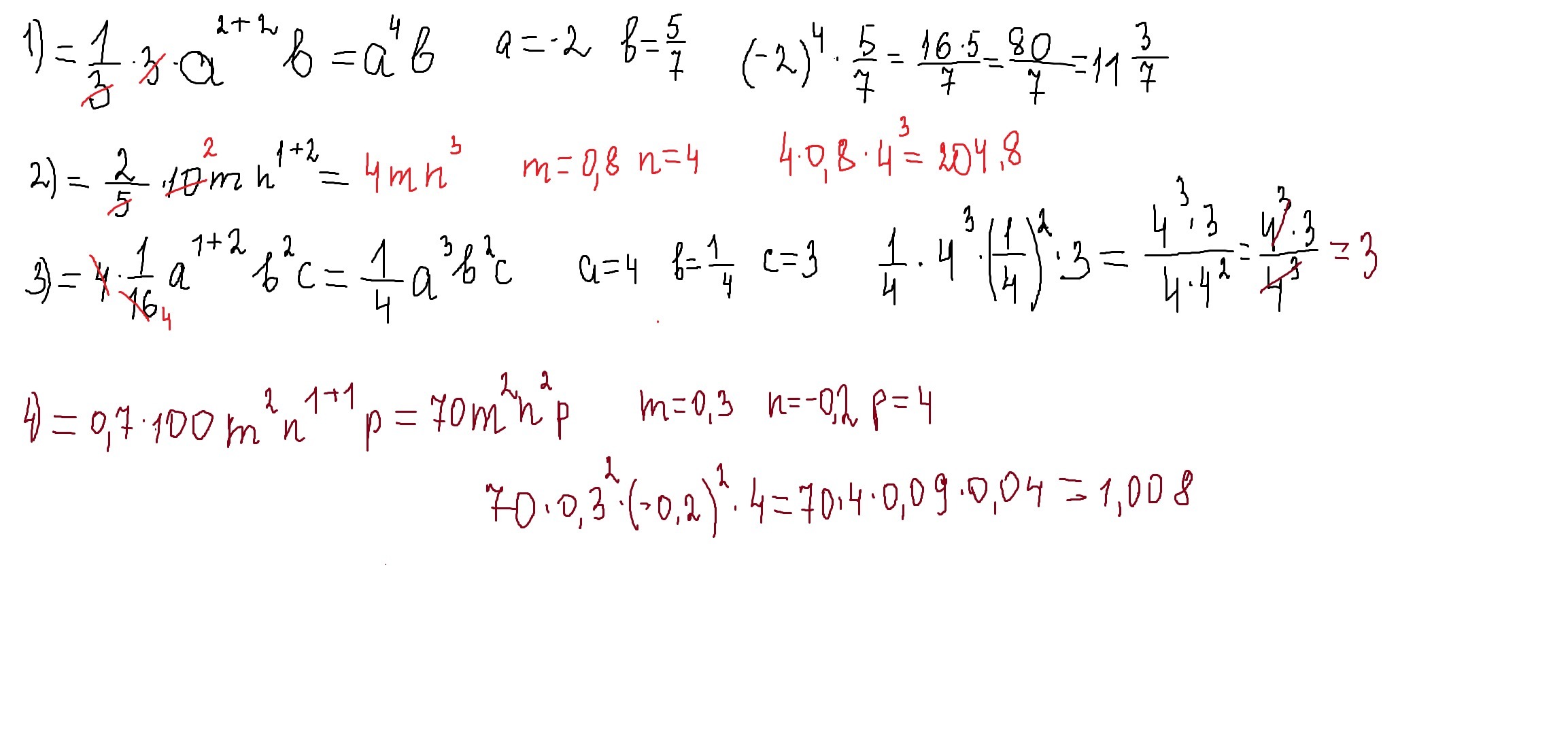
1) 1/3 a^2 * 3 a^2*b = 2/3 a^4 * b .
При : a= -2 , b = 5/7
Тогда : 2/3 * (-2)^4 * 5/7 = 2/3 * 16 * 5/7 = 10/21 * 4 = 40/21
Ответ : 40/21
2) 2/5 m n * 10n^2 = 4 m n^2
При : m = 0.8 , n =4
Тогда : 4 * 0.8 * 4^2 = 3.2* 16 = 51.2
Ответ : 51.2
3) 4 a * 1/16 a^2 b^2 c = 2/3 a^2 b^2 c
При : a=4 , b =1/4 c = 3
Тогда : 2/3 * 4^2 * 1/4^2 * 3 = 32/3 * 1/16 * 3 = 2
Ответ : 2
4) 0.7 m^2 n * 100 n p = 70 m^2 n p
При : m = 0.3 , n = -0.2 , p = 4
Тогда : 70 * 0.3^2 * (-0.2) * 4 = -5.04
Ответ : -5.04
Ответ дал:
0
это полностью все так писать?
Ответ дал:
0
Ну да, это решение, но вы можете сократить если хотите
Ответ дал:
0
ладно спасибо
Ответ дал:
0
решение примеров смотри внизу
Приложения:

Вас заинтересует
2 года назад
3 года назад
3 года назад
9 лет назад
9 лет назад
9 лет назад