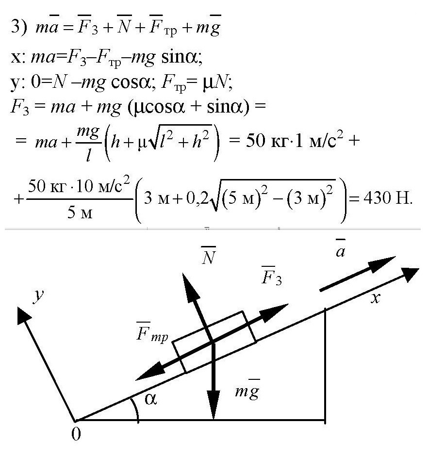
На наклонной плоскости длиной 5 метров и высотой 3метров находится груз массой 50кг. Какую силу надо приложить , чтобы опускать его вниз с ускорением 1м/с?
Можно подробно .
Ответы
Ответ дал:
0
Дано:
l = 5 м; h = 3 м; m = 50 кг; a = 1 м/с2; μ = 0,2.
Найти F1, F2, F3.
Решение:
(На картинках 1),2),3) )
Ответ: F1 = 220 Н, F2 = 380 Н, F3 = 430 Н.
Приложения:



Вас заинтересует
2 года назад
3 года назад
3 года назад
9 лет назад
9 лет назад