Ответы
Ответ дал:
0
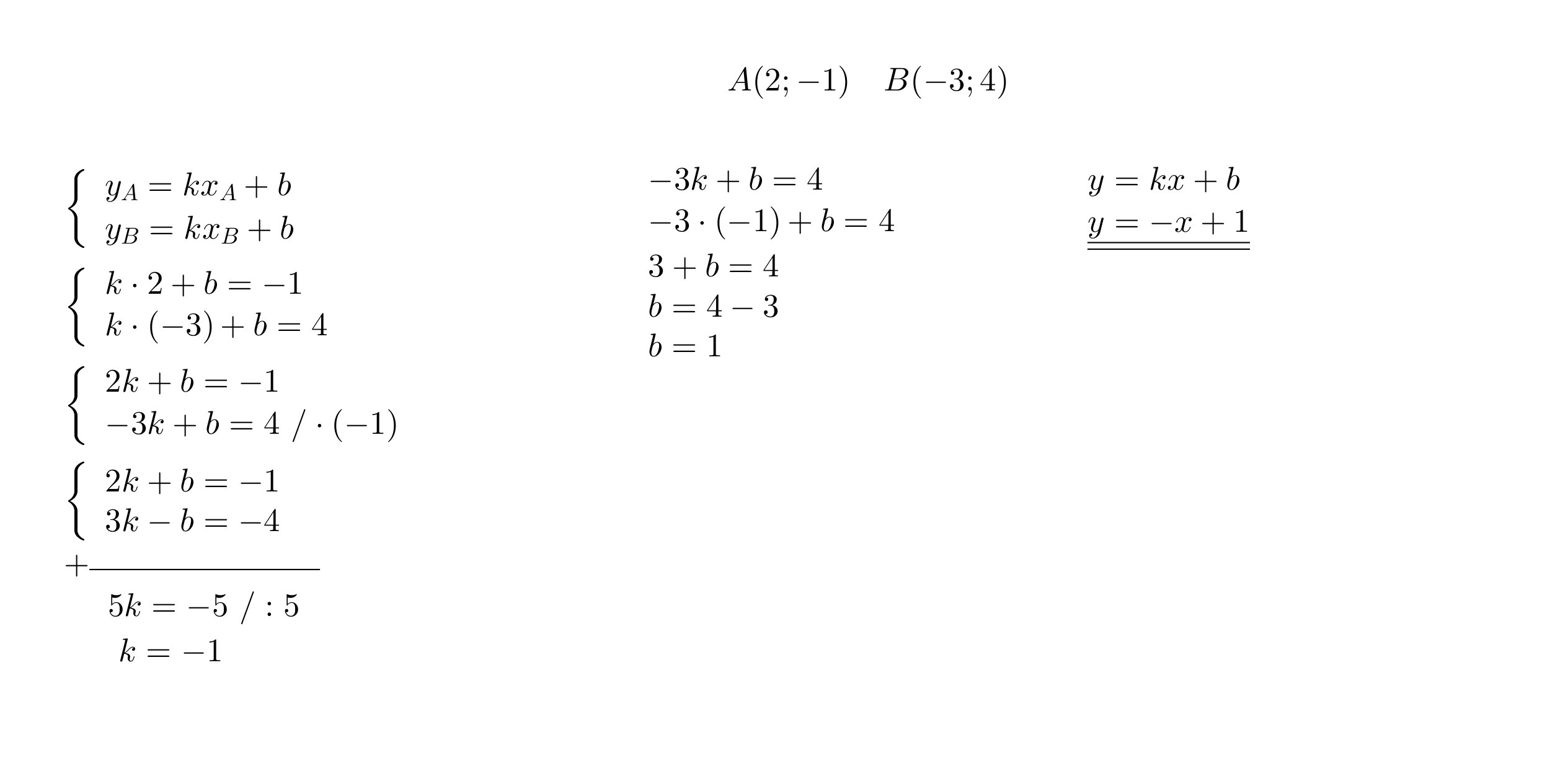
напишите уравнения прямой, проходящей через две точки: А(2;-1) и В(-3;4)
Приложения:

Ответ дал:
0
Решение задания приложено. Используем формулу уравнения прямой через две точки. Ответ как правило записываем в общем виде. Но можно и через угловой коэф.
Приложения:

Вас заинтересует
2 года назад
3 года назад
3 года назад
9 лет назад
9 лет назад