Ответы
Ответ дал:
0
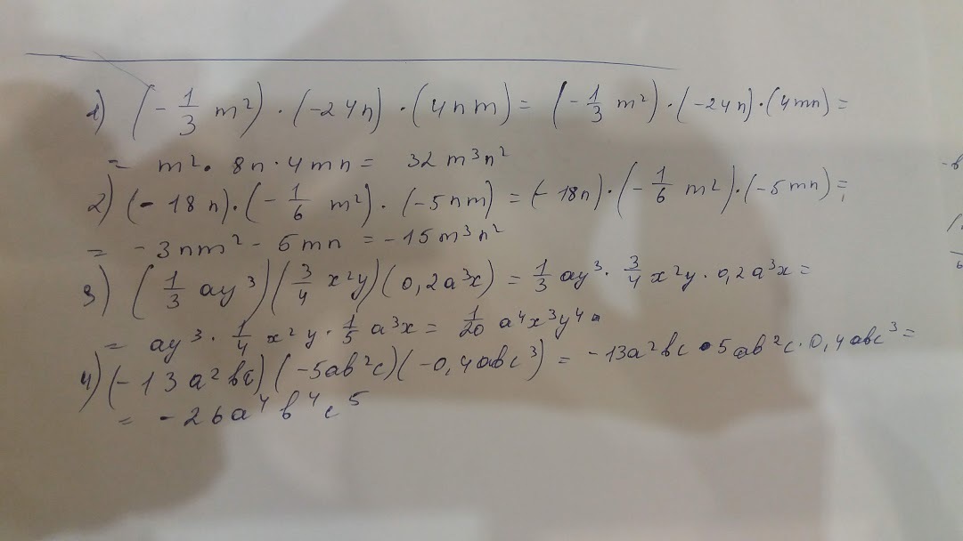
1. 32m²n³t
2. -15m³n²
3. 0.5a⁴y⁴x³
4. -26a⁴b6c5
2. -15m³n²
3. 0.5a⁴y⁴x³
4. -26a⁴b6c5
Ответ дал:
0
Вот. Ответ ниже на фото
Приложения:

Вас заинтересует
2 года назад
2 года назад
3 года назад
3 года назад
9 лет назад
9 лет назад
9 лет назад