• Предмет: Математика
  • Автор: amira94
  • Вопрос задан 8 лет назад

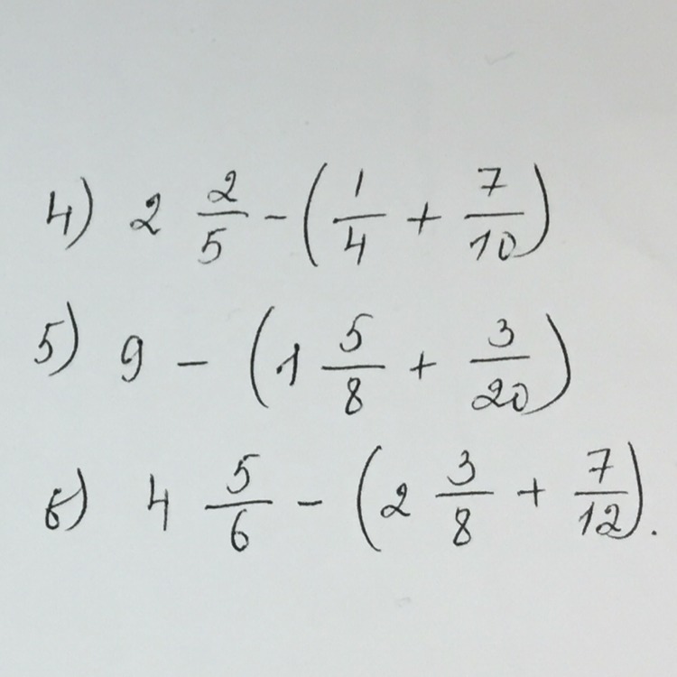
Помогите пожалуйста..

Приложения:

Ответы

Ответ дал: olgamelnikova123
0

4) 2 2/5 - (1/4+7/10) = 2 8/20 - (5/20+14/20) = 2 8/20 - 19/20 =

1 9/20


5) 9 - (1 5/8 + 3/20) = 9 - (1 25/40 + 6/40) = 9 - 1 31/40 = 7 9/40


6)4 5/6 - (2 3/8 + 7/12) = 4 20/24 -

- (2 9/24 + 14/24) = 4 20/24 -

- 2 23/24 = 1 21/24

Вас заинтересует