• Предмет: Математика
  • Автор: 48243
  • Вопрос задан 8 лет назад

Помогите пожалуйста ☺️

Приложения:

Ответы

Ответ дал: parus77
0

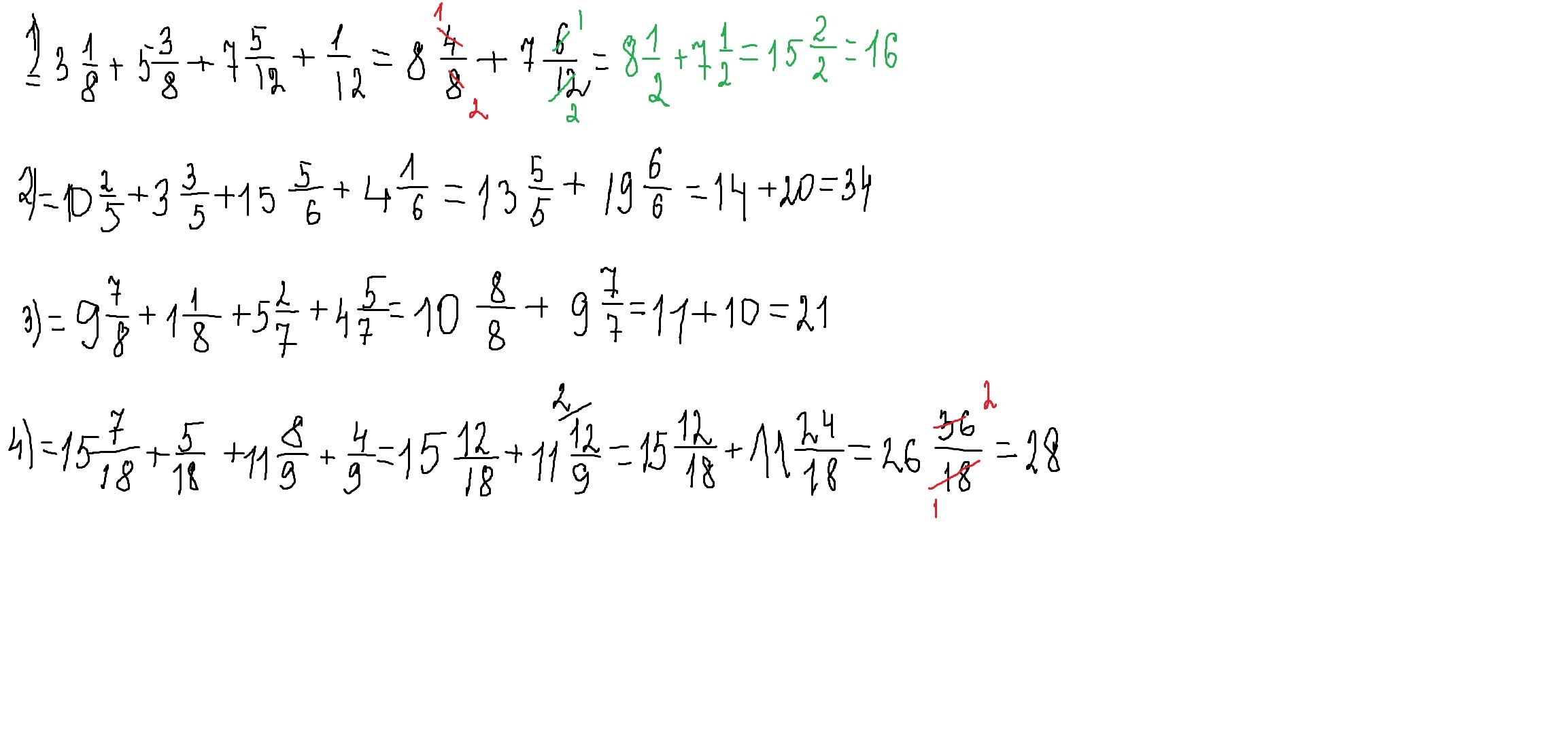
решение смотри внизу

Приложения:
Вас заинтересует