Ответы
Ответ дал:
0
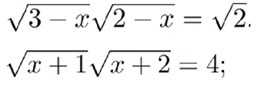
Вот. УДАЧИ ТЕБЕ)))))) >)
Приложения:





Вас заинтересует
2 года назад
3 года назад
3 года назад
9 лет назад