Ответы
Ответ дал:
0
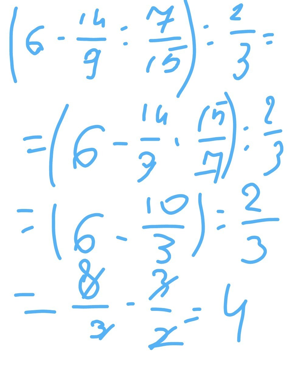
вот такое решение в конце сократилось
Приложения:

Ответ дал:
0
(6-1 5/9:7/15):2/3=(6- 14/9:7/15):2/3=(6-14/9*15/7)*3/2=(6-2/3*5/1)*3/2=(6-10/3)*3/2=(2 2/3)*3/2=8/3*3/2=4
Ответ 4
Приложения:

Вас заинтересует
2 года назад
3 года назад
3 года назад
9 лет назад
9 лет назад
9 лет назад