• Предмет: Алгебра
  • Автор: m4arcu5
  • Вопрос задан 8 лет назад

Вычисли значение выражения


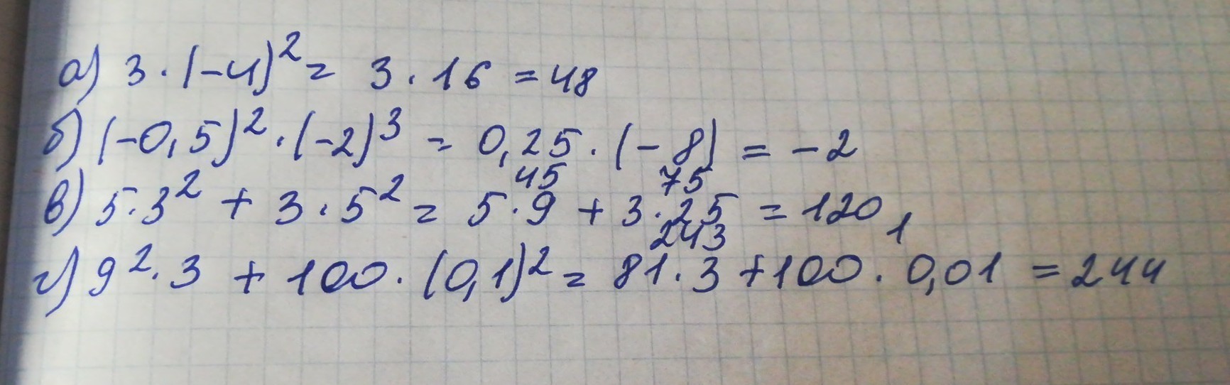
a) 3 · (-4)^{2}

б) (-0,5)^{2} · (-2)^{3}

в) 5 · 3^{2} + 3 · 5^{2}

г) 9^{2} · 3 + 100 · (0,1)^{2} .

Ответы

Ответ дал: alesyaperova
0
Решение на фото......
Приложения:
Вас заинтересует