• Предмет: Алгебра
  • Автор: glyshenko
  • Вопрос задан 8 лет назад

Пишите пж
С балами не обижу

Приложения:

Ответы

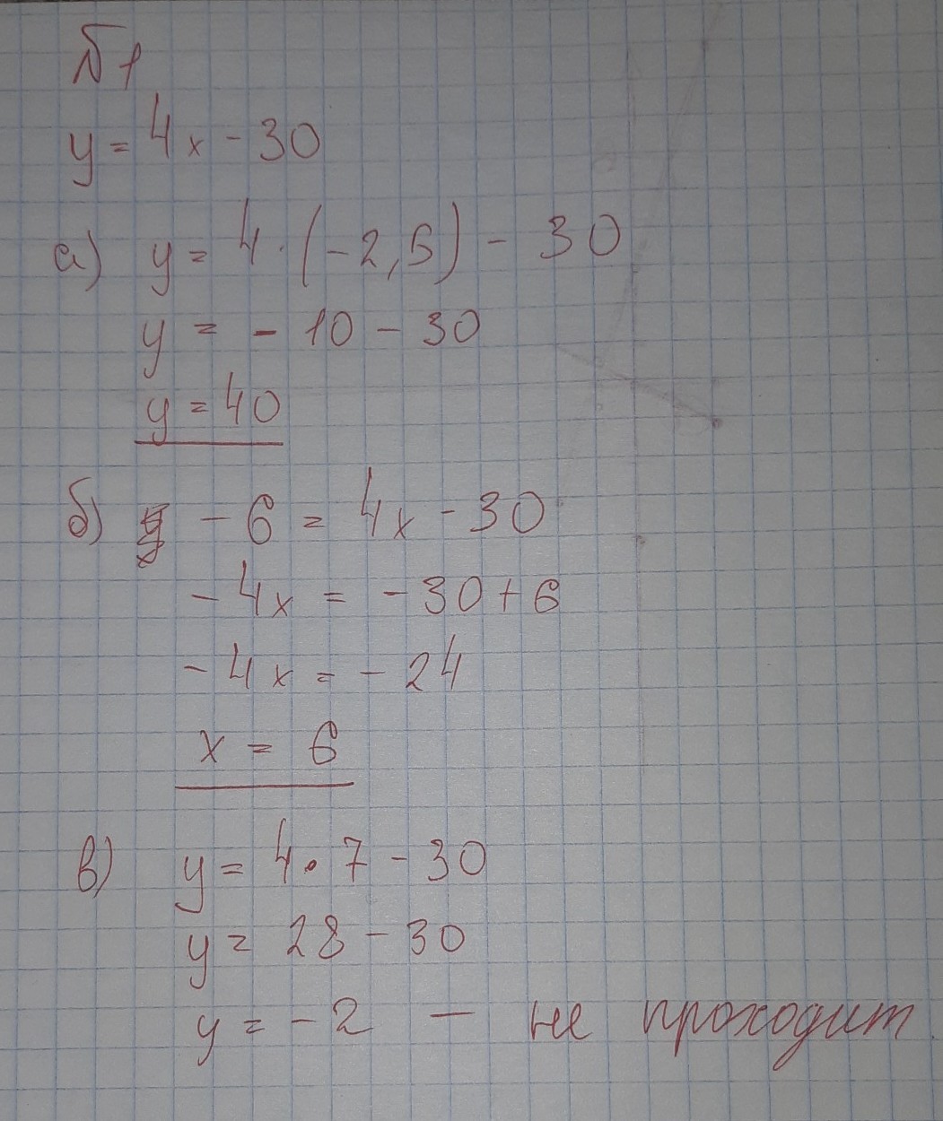
Ответ дал: kimjong47
0
Первое, второе и третье задание на фото
Приложения:
Вас заинтересует