• Предмет: Математика
  • Автор: malovski09
  • Вопрос задан 8 лет назад

помогите разобраться

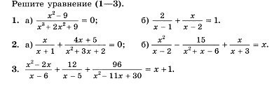
Приложения:

Ответы

Ответ дал: mefody66
0

Нужно сводить все к одной дроби, и чтобы справа был 0.

Потом приравниваешь числитель к 0 и решаешь с учетом области определения.

1) а) тут уже все сделано

Обл. опр.:

x^3 + 2x^2 + 9 = x^3 + 3x^2 - x^2 + 9 = x^2*(x+3) - (x-3)(x+3) = (x+3)(x^2-x+3)

x ≠ - 3

Решаем само уравнение:

x^2 - 9 = 0

(x-3)(x+3) = 0

x1 = -3 - не подходит по обл. опр.

x2 = 3 - подходит.

б) 2/(x-1) + x/(x-2) = 1

Обл. опр. x ≠ 1; x ≠ 2

Приводим к общему знаменателю, справа оставляем 0

2(x-2) / ((x-1)(x-2)) + x(x-1) / ((x-1)(x-2)) - (x-1)(x-2) / ((x-1)(x-2)) = 0

Складываем дроби, раскрываем скобки.

(2x-4+x^2-x-x^2+3x-2) / ((x-1)(x-2)) = 0

Приводим подобные и приравниваем числитель к 0

4x - 6 = 0

x = 6/4 = 3/2 = 1,5

2) точно такие же, решу 3), она самая трудная.

3) (x^2-2x)/(x-6) + 12/(x-5) + 96/(x^2-11x+30) = x+1

Обл. опр. x ≠ 5; x ≠ 6.

Приводим к общему знаменателю x^2-11x+30 = (x-6)(x-5) и переносим все влево.

((x^2-2x)(x-5) + 12(x-6) + 96 - (x+1)(x^2-11x+30)) / (x^2-11x+30) = 0

Приравниваем числитель к 0 и раскрываем скобки.

x^3-2x^2-5x^2+10x+12x-72+96-x^3-x^2+11x^2+11x-30x-30 = 0

3x^2 + 3x - 6 = 0

3(x^2 + x - 2) = 0

3(x-1)(x+2) = 0

x1 = - 2; x2 = 1 - оба корня подходят.

Вас заинтересует