Ответы
Ответ дал:
0
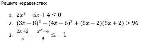
1) Дискриминант со знаком минус, нет решения
2) (-бесконечность; -2) U (+2; + бесконечность)
3) [-2.8;6]
2) (-бесконечность; -2) U (+2; + бесконечность)
3) [-2.8;6]
Приложения:

Вас заинтересует
2 года назад
3 года назад
9 лет назад
9 лет назад