• Предмет: Химия
  • Автор: Halinay
  • Вопрос задан 8 лет назад

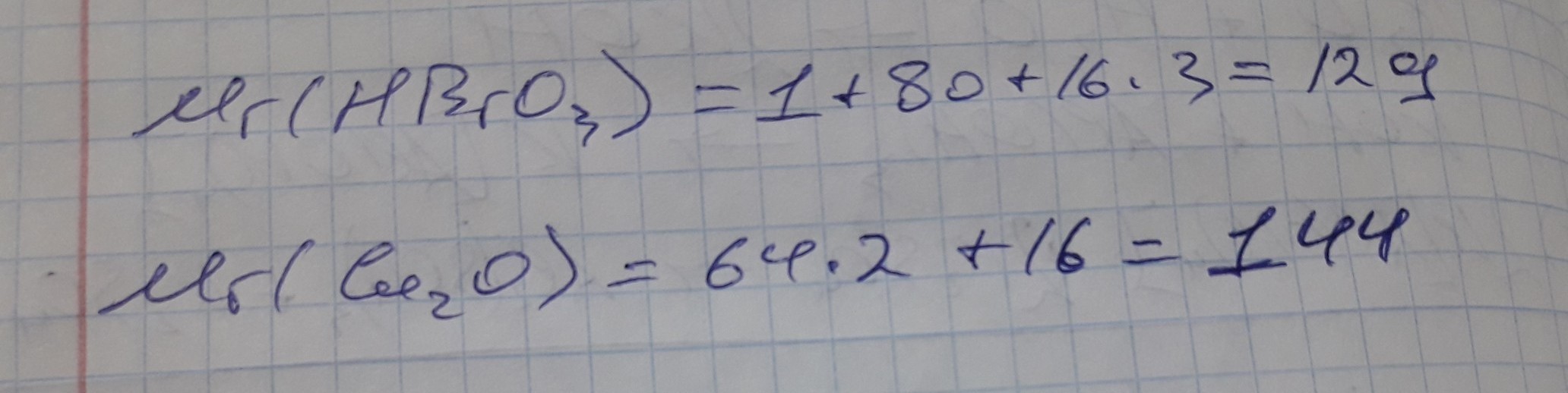
Определить относительную молекулярную массу HBrO3 и Cu2O

Ответы

Ответ дал: mixer8991
0
.....................................
Приложения:
Ответ дал: awessome
0

1) HbrO3=
1+80+16*3=129
2)Cu2O=
64*2+16=144
Приложения:
Вас заинтересует