• Предмет: Алгебра
  • Автор: олечк3
  • Вопрос задан 8 лет назад

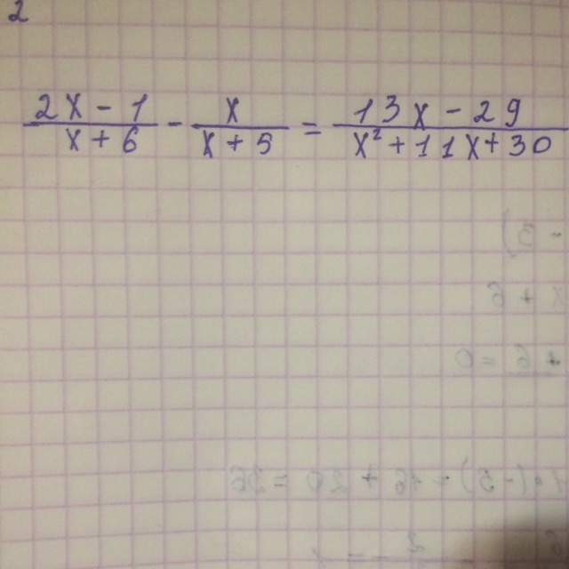
Помогите решить уравнение

Приложения:

Ответы

Ответ дал: geometrik248
0
 frac{2x - 1}{x + 6} - frac{x}{x + 5} = - frac{13x - 29}{x^{2} + 11 + 30 } = 0 \ frac{2x - 1}{x + 6} - frac{ x}{x + 5} - frac{13x - 29}{x times (x + 6) + 5(x + 6)} = 0 \ frac{2x - 1}{x + 6} - frac{x}{x + 5} - frac{13x - 29}{(x + 6)(x + 5)} = 0 \ frac{2x^{2} - x + 10x - 5 - {x}^{2} - 6x - 13x + 29 }{(x + 6)(x + 5) : } = 0 \ {x}^{2} - 10x + 24 = 0 \ x = 6 \ x = 4 \
P.S. если я помог тебе, отметь мой ответ лучшим, пожалуйста :)
Вас заинтересует