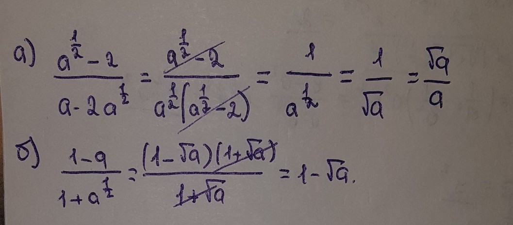
Математика, 9 класс. Задания в файле, помогите решить, пожалуйста. Если можно, в виде фото, чтобы дробные степени и дроби были понятны
Приложения:

Ответы
Ответ дал:
0
.......................
Приложения:

Вас заинтересует
2 года назад
2 года назад
3 года назад
9 лет назад
9 лет назад
9 лет назад
9 лет назад