Ответы
Ответ дал:
0
II)
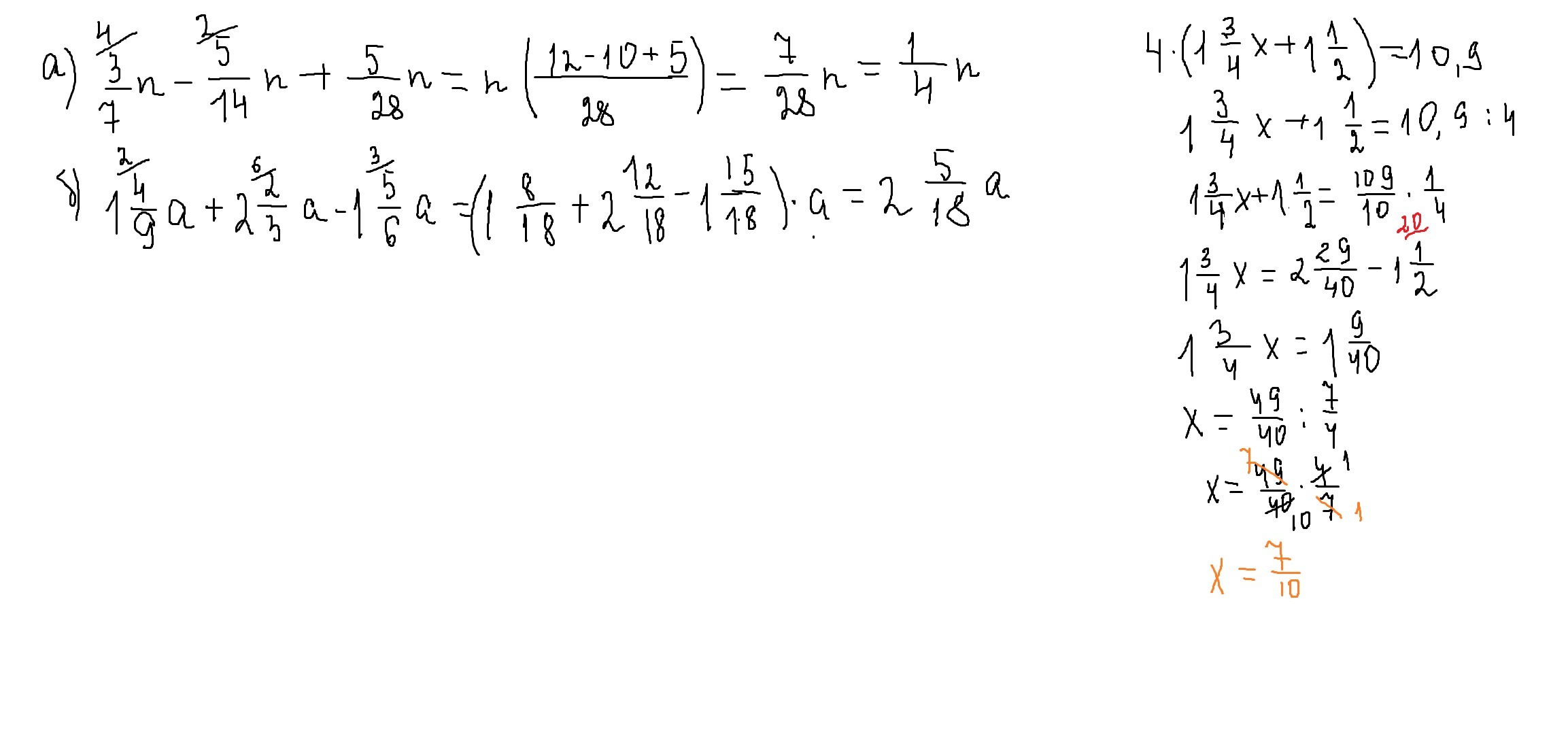
a) 3/7n-5/24n+5/28n= 3n/7-5n/14+5n/28= (3n*4-5n*2+5n)/28[общая дробь]=(12n-10n+5n)/28=n/4
b) 13/9a+8/3a-11/6a=(13+8*3a-11*1,5a)/9=(13a+24a-16.5a)/9=(41/18)*x
III) 4*(1.75x*1.5)=10.9 | :4
1,75x*1.5=2,725
2,625x=2,725
x=109/105 или 1 целая 4/105
Ответ дал:
0
смотри решение внизу
Приложения:

Вас заинтересует
2 года назад
2 года назад
3 года назад
9 лет назад
9 лет назад
9 лет назад