• Предмет: Алгебра
  • Автор: AnnaKim555
  • Вопрос задан 8 лет назад

14.6 помогите пожалуйста,срочнооо!!!
Заранее спасибо)

Приложения:

Ответы

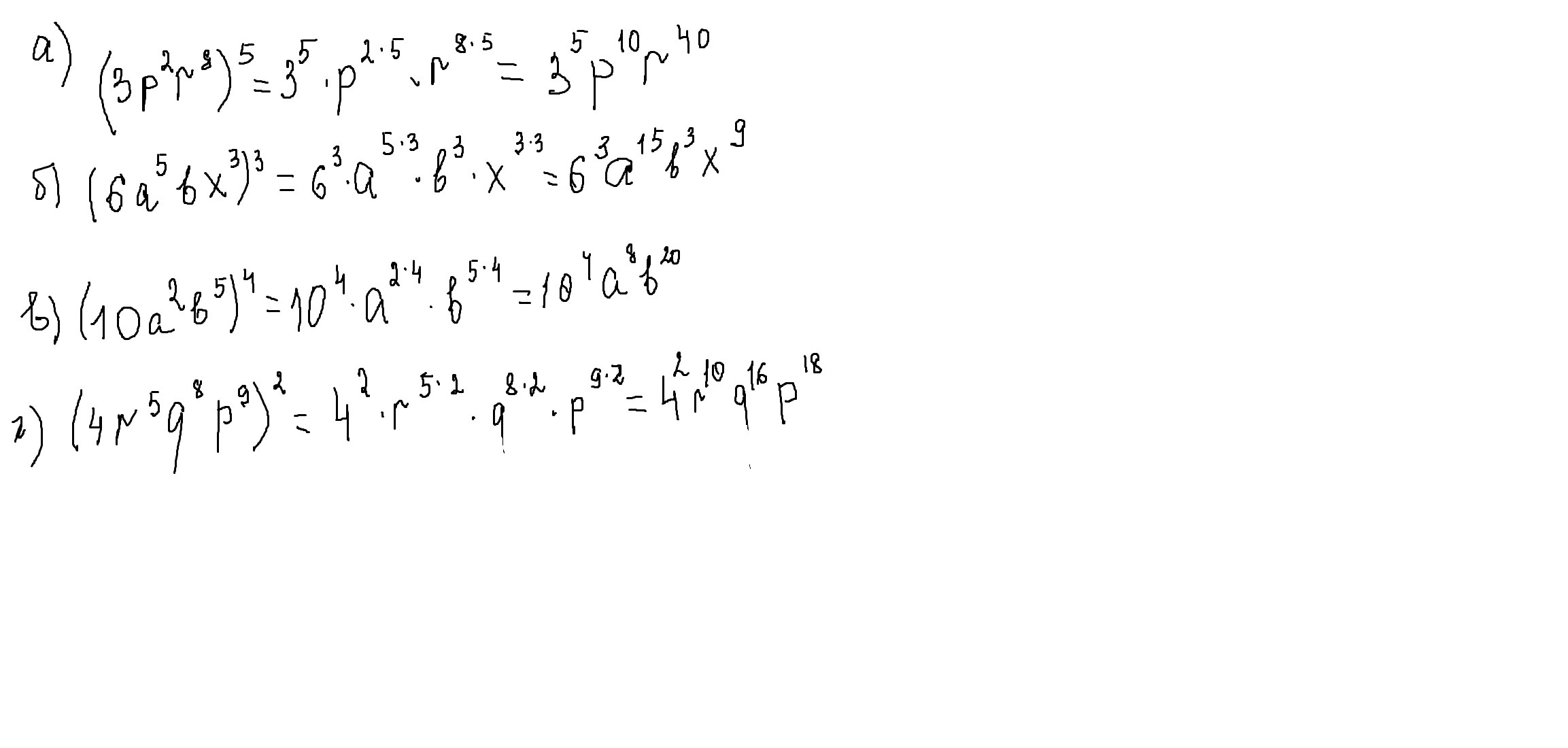
Ответ дал: parus77
0

смотри решение внизу

Приложения:
Вас заинтересует