Ответы
Ответ дал:
0
Решение смотри на фотографии
Приложения:

Ответ дал:
0
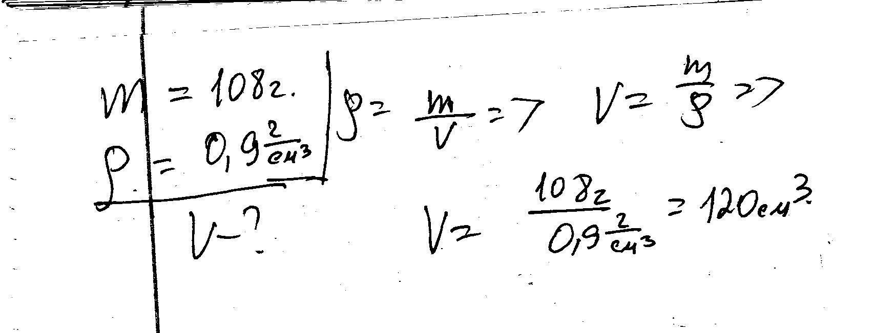
Дано: масса = 108 г ., по таблице плотности твёрдых тел плотность льда = 0,90 г/см кубических найти: объём Решение: формула чтобы найти объём надо массу разделить на плотность. объём равен 108 : 0,90 = 120 значит объём 120 грамм или 0,12 килограмм
Ответ дал:
0
0.108кг/м³ вроде так
Приложения:

Вас заинтересует
2 года назад
2 года назад
3 года назад
9 лет назад
9 лет назад
9 лет назад