Ответы
Ответ дал:
0
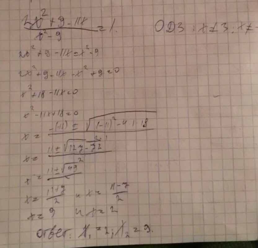
ОДЗ: X НЕ РАВЕН 3 И (-3)

Приложения:

Вас заинтересует
2 года назад
2 года назад
3 года назад
9 лет назад
9 лет назад