• Предмет: Алгебра
  • Автор: DENDEX
  • Вопрос задан 8 лет назад

Решите систему уравнений (без дескрименантов): [!50 б!]

{х²-11х+18=0,
{х²-9≠0.

8 класс

Ответы

Ответ дал: Misha001192
0

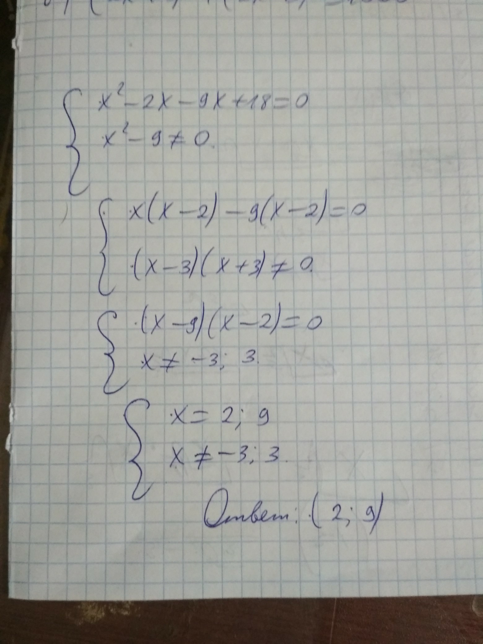
{ х^2 - 11х + 18 = 0
{ х^2 - 9 =/ 0

{ х^2 - 2х - 9х + 18 = 0
{ х^2 - 9 =/ 0

{ х( х - 2 ) - 9( х - 2 ) = 0
{ ( х - 3 )( х + 3 ) =/ 0

{ ( х - 9 )( х - 2 ) = 0
{ х =/ - 3 ; 3

{ х = 2 ; 9
{ х =/ - 3 ; 3

х = 2 ; 9



ОТВЕТ: 2 ; 9
Ответ дал: DENDEX
0
Misha001192, я вас умоляю
Ответ дал: Misha001192
0
Вынесли общий множитель ( х - 2 )
Ответ дал: DENDEX
0
Ага, ясно)
Ответ дал: DENDEX
0
Люблю
Ответ дал: DENDEX
0
Всё, вопросов нет. СПАСИБО ВАМ ОГРОМНОЕ!!!!!!!!!
Ответ дал: Аноним
0
**********TIGROVSKIY**********
Приложения:
Вас заинтересует