• Предмет: Математика
  • Автор: DementоR
  • Вопрос задан 8 лет назад

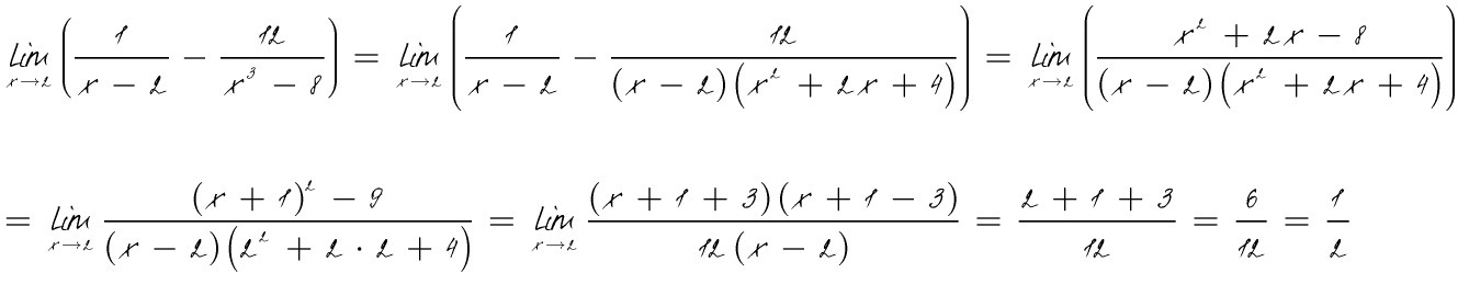
Вычислить предел,помогите пожалуйста

Приложения:

Ответы

Ответ дал: Аноним
0

Решение смотрите во вкладке..

Приложения:
Вас заинтересует